Egg Surface Area, Volume Calculator
To find the surface area of an egg, volume of an egg using mathematics formulas.

Egg Surface Area, Volume Formulas
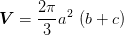
The volume of the egg can be calculated as follows:

Where p is the constant 3.14159265
The Surface area of the egg can be calculated as follows:

Mathematical Calculation :
Measure the width of the egg at its widest point with a ruler , divide that measurement in half and label that number as a.
This is the radius of the minor axis of both ellipsoids that form the egg. Mark the point on the egg at which you took this measurement, using a pencil.
Measure the length of the egg and divide this length into two, using the mark you made as the dividing point. Call the longer polar radius b and the shorter polar radius c.
Fill in the values for a, b and c in the following formula to find the volume of the egg:

Pi is a constant that equals approximately 3.14159265