Poisson Distribution Probability || Poisson & Cumulative Poisson Distribution
Poisson & Cumulative Poisson Distribution Calculator , Table
An online poison and cumulative poisson distribution and calculation.
Poisson Distribution Table

How poisson & cumulative poisson distribution calculator works?
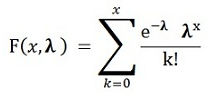
Formula
- Cumulative Poisson Distribution

- where
- e is the base
- k is the number of occurrences
- k! is the factorial k
- λ is a positive real number
- Poisson Distribution
- f(x) = e-λλx / x!
- e is the base
- x is the number of events occurred
- x! is the factorial x
- λ is a positive real number
See Also ►
Z Score to Percentile Calculator
Percentile,Ordinal Rank Calculator
P Value from Z score Calculator
Letter Arrangment Probability Calculator
PERT Expected Time Probability Calculator
Mean Median Mode Ranges Calculator