Calculate Distance between Two points and the Midpoint

 Distance between Two points Calculator

An online 2 points distance calculator.

  
Calculate distance between two midpoints

How Distance between two points Calculator Works ?

This will Calculate Distance between two points.

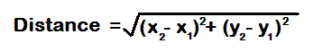
Above distance formula is an algebraic expression used to determine the distance between 2 points with the coordinates (x1, y1) and (x2, y2).