Calculate Distance between Two Midpoints

 Distance btn Two Mid-Points Calculator

An online 2 midpoints distance calculator.

  
Calculate Distance Between Two Points

How Distance between two mid points Calculator Works ?

This will Calculate Distance between two midpoints.

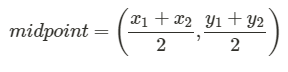
for coordinate plane where the endpoints has the coordinates (x1,y1) and (x2,y2) then the midpoint coordinates is found by using the above formula: