Area Volume Perimeter Surface Area Formulas PDF + Printable
Area Perimeter Volume and Surface Area Formulas
An online geometry formulas in pdf format.
Angles
A right angle is made up of 90 degrees.A straight line is made up of 180 degrees.If two lines intersect, the sum of the resulting four angles equals 360.
| Geometric Figure | Area | Perimeter |
|---|---|---|
Area of a Parallelogram![]() | A = b x h | P =2(b + c) |
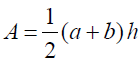
Area of a Triangle![]() | ![]() | P = a + b + c |
Area of a Trapezium![]() | ![]() | P = a + b + c + d |
Area of a Circle![]() | A = πr2 | C = 2πr |
Area of a Rectangle![]() | A = l x w | P = 2(l + w) |
Volume and Perimeter Surface Area Formulas
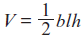
| Geometric Figure | Volume | Surface Area |
|---|---|---|
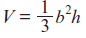
Volume of a Pyramid![]() | ![]() | A = 2bs + b2 |
Volume of a Cuboid / Rectangular prism![]() | V = lwh | A = 2(wh + lw + lh) |
Volume of a Cylinder![]() | V = πr2h | A = 2πr2 + 2πrh |
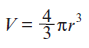
Volume of a Sphere![]() | ![]() | A = 4πr2 |
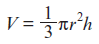
Volume of a Cone![]() | ![]() | A = πrs + πr2 |
Volume of a Triangular Prism![]() | ![]() | A = ah + bh + ch + bl |















